定義
電壓閃爍 是指電壓均方根值產生一系列的變動或連續的改變。而電壓閃爍又可區分為週期性閃爍與非週期性閃爍。前者是指週期性電壓變動造成的電壓閃爍,如軋鋼機、點焊機、壓縮機週期性的開啟與關閉;後者是指偶發性電壓變動造成的電壓閃爍,如鋼鐵廠之電弧爐、馬達起動瞬間造成的短暫電壓降與波動。
IEEE對電壓閃爍所下定義為,當頻率的變化是介於低頻幾赫茲所產生的光度變化或影響混淆。
日本電力中央研究所採10 Hz等效之∆V10電壓閃爍指標作為電壓閃爍嚴重程度之衡量,其視感度係數是針對白熾燈(100 V,60 W)所得結果,∆V10之定義公式,如 (1) 式所示。

(1)
公式中為頻率n Hz的電壓變動量;an為 n Hz電壓變動量等效至10 Hz變動量的相對視感度係數,如表 1所示。
表 1 ∆V10視感度曲線對應之an係數
| 頻率 (Hz) | an | 頻率 (Hz) | an | 頻率 (Hz) | an | 頻率 (Hz) | an | 頻率 (Hz) | an |
| 0.01 | 0.025 | 4 | 0.695 | 11 | 0.976 | 18 | 0.753 | 25 | 0.5 |
| 0.05 | 0.055 | 5 | 0.780 | 12 | 0.964 | 19 | 0.700 | 26 | 0.474 |
| 0.1 | 0.075 | 6 | 0.880 | 13 | 0.928 | 20 | 0.655 | 27 | 0.444 |
| 0.5 | 0.169 | 7 | 0.928 | 14 | 0.897 | 21 | 0.623 | 28 | 0.415 |
| 1 | 0.260 | 8 | 0.973 | 15 | 0.869 | 22 | 0.593 | 29 | 0.385 |
| 2 | 0.423 | 9 | 0.990 | 16 | 0.830 | 23 | 0.563 | 30 | 0.558 |
| 3 | 0.563 | 10 | 1.000 | 17 | 0.794 | 24 | 0.534 |
IEC短時間嚴重性Pst電壓閃爍指標之計算方式如 (2) 式所示,其取樣週期為10分鐘。

(2)
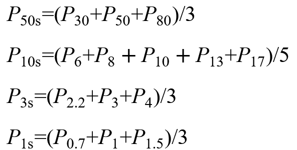
公式中P0.1、P1、P3、P10與P50為量測期間電壓閃爍取樣分別超出0.1%、1%、3%、10%及50%之計算值。其中,下標s表示平滑值(smoothed),其計算如 (3) 式所示。

(3)
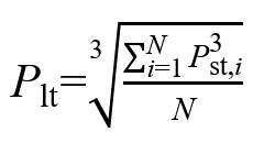
IEC長時間嚴重性Plt電壓閃爍指標之計算方式如 (4) 式所示,其是藉由連續之短時嚴重性Pst指標值計算取得,其中,建議之取樣週期為2小時,即取N=12。

(4)
典型值
電壓閃爍之原因來自快急遽變動負載,常見之快速變動負載如鋼鐵廠之電弧爐及軋鋼機,汽車工業之點焊機,橡膠業之密煉機等,此類負載具有功率變化急遽或週期性大幅變動之特性,因此運行時引起供電電壓之波動。
由於電弧爐於煉鋼過程中負載變化甚大,其變動具隨機性且幅度大,加上低功因之大變動電流,使供電饋線產生變動性壓降,使匯流排產生電壓閃爍。圖 1所示為典型33 kV電弧爐(Electrical Arc Furnace, EAF)運行時之系統電壓與電流有效值,其電壓變動最大值達11.52%,其Pst指標最高達16。電弧爐每爐煉製過程分三階段,分別為熔解期、氧化期與精煉期,其中初期熔解及氧化過程電弧爐電流變化最大,其原因為鋼鐵原料不斷於電極棒間造成短路,由於電弧長度的隨機變動,促使電流呈現極度不平衡及低功率因數運行特性。

(a)

(b)
圖 1 電弧爐運行時之(a)系統電壓與(b)電流有效值
交流電弧爐因只有單一爐體,熔解氧化及精煉過程皆於同一爐體完成。若採直流電弧爐通常為雙爐體煉鋼,熔解與氧化製程由直流爐完成,後續將鋼水倒入交流精煉爐(Ladle Furnace, LF)進行最後精煉製程。圖 2所示為典型11.4 kV精煉爐運行之電流與電流有效值,於精煉期之負載變動趨於穩定且較為平衡。

圖 2 精爐爐運行時之系統電壓
引起供電系統電壓閃爍現象主要來自功率變化急遽或週期性大幅變動之快速變動負載,運行時除了引起嚴重之電壓變動外,此類負載運行電流亦伴隨高諧波失真問題。此外,電弧爐及單相點焊機運行時除了產生電壓閃爍及諧波失真外,亦同時引起電壓不平衡之電力品質問題。
影響
嚴重之電壓閃爍會造成日光燈或白熾燈等照明設備之光度閃爍,使人類視覺產生不舒適感覺,或影響發電機自動電壓調整器之正常運作,由IEC 61000-2-2-2018標準之電壓變動量的建議曲線,其曲線最低點約為8.8 Hz(約每秒電壓變動17.6次),如圖 3所示,其值為視覺感知最明顯之變動頻率。由快速變動負載引起的電壓閃爍,它會經由電力傳輸線傳遞至電網各處,但因傳播途徑包含變壓器、輸電線及負載特性等因素,傳遞至不同節點時,電壓閃爍程度會有所衰減,但仍會影響同饋線用電戶之電力品質。有關輸配電系統中發生電壓變動及電壓閃爍之傳播特性,可利用轉移轉移因數評估其傳遞至電網其它節點之程度。由文獻[1]中之研究結果,由中壓至低壓之電壓閃爍轉移因數約為1.0;由高壓至中壓之電壓閃爍轉移因數約介於0.5至0.95間。

圖 3 IEC 61000-2-2-2018標準電壓變動量建議曲線[2]
限制值參考
- (1) 美國IEEE標準
IEEE 1453-2015標準於用戶端PCC建議之電壓閃爍限制值,如表 2所示。其中,電壓閃爍指標Pst與Plt以每10分鐘記錄取樣值並以累積機率分佈95%為代表值。若取99%為代表值,則電力公司可依供電系統狀況對電壓閃爍指標限制值取加乘係數(1.0 ~ 1.5)。
表 2 IEEE 1453-2015標準對電壓閃爍之限制值[3]
| 電壓閃爍指標 | 中壓 (1 kV < Vs ≤35 kV) | 高壓、特高壓 ( Vs > 35 kV) |
| Pst | 0.9 | 0.8 |
| Plt | 0.7 | 0.6 |
- (2) 歐洲IEC標準
IEC 61000-3-3-2017標準所制定之電壓閃爍指標限制值為Pst ≤ 1及Plt ≤ 0.65[4]。
因手動操作開關、因緊急電源切換或中斷所引起之電壓變動不在此電壓閃爍限制範圍內。
- (3) 歐洲EN標準
EN 50160-2007標準規範於正常供電情況下,電壓閃爍指標Plt以一週為單位,95%之取樣值須滿足Plt ≤ 1[5]。
- (4) 中國GB國家標準
GB/T 12326-2008標準用於評估公用電網PCC電壓閃爍指標為Plt,取樣以一週為測量週期,所有長時間閃爍值Plt都應滿足限制值要求,如表 3所示。
表 3 GB/T 12326-2008對電壓閃爍之限制值[6]
| 電壓閃爍指標 | Vs ≤ 110 kV | Vs > 110 kV |
| Plt | 1 | 0.8 |
- (5) 日本電力公司
日本各電力公司對電壓閃爍之限制值,如表 4所示。
表 4 日本各電力公司對電壓閃爍之限制值[7]
| 電力公司 | 電壓閃爍管制項目 | 限制值 |
| 東北 | ∆V10 | 最大值0.45%,一小時平均值0.32% |
| 東京 | ∆V10 | 最大值0.63%,一小時平均值0.45% |
| 中部 | ∆V10 | 最大值0.63%,一小時平均值0.45% |
| 北陸 | ∆V10 | 最大值0.45% |
| 關西 | ∆V、∆V10 | ∆V10最大值0.63%,∆V最大值1.9% |
| 中國 | ∆V | ∆V最大3% |
| 四國 | ∆V10 | 最大值0.45% |
- (6) 台灣電力公司
台灣電力公司電壓閃爍管制要點中指採∆V10作為電壓閃爍指標,其規範電弧爐等遽變負載之用戶端於PCC之電壓閃爍值,其每秒鐘變化十次之等效電壓最大值(∆V10max)不得超過百分之零點四五。
∆V10:每秒鐘變化十次之等效電壓變動值。
∆V10max:依據公式計算之最大的值,或量測所得代表值。
∆V10代表值:每一分鐘量取一筆值,量測一星期以上,取累積機率分佈95%之對應值。
∆V10之量測取樣方法為,每一分鐘量取一筆值∆V10值,取樣95%之所有值均不得超過容許值。
電壓閃爍每一輸電線以總量管制∆V10max等於百分之零點四五為原則,每一輸電線所饋供之鋼鐵用戶以二家為原則,每一家用戶之容許值∆V10max為等於百分之零點三二,引供第三家以後之用戶,採量測既有用戶之共同點∆V10代表值,而以百分之零點四五之剩餘量為容許值。
參考文獻
- [1] H. Renner and M. Sakulin, “Flicker Propagation in Meshed High Voltage Networks,” in Proc. 9th Int. Conf. Harmonics and Quality of Power, Vol.3, 2000, pp. 1023-1028. Orlando, Florida USA.
- [2] Electromagnetic compatibility (EMC) – Part 2-2: Environment – Compatibility Levels for Lowfrequency Conducted Disturbances and Signalling in Public Low-Voltage Power Supply Systems, IEC Standard 61000-3-3-2017, May 2017.
- [3] IEEE Recommended Practice for the Analysis of Fluctuating Installations on Power Systems, IEEE Standard 1453-2015, Sep. 2015.
- [4] Electromagnetic compatibility (EMC) – Part 3-3: Limits – Limitation of Voltage Changes, Voltage Fluctuations and Flicker in Public Low-Voltage Supply Systems, for Equipment with Rated Current ≤ 16 A Per Phase and Not Subject to Conditional Connection, IEC Standard 61000-3-3-2017, May 2017.
- [5] Voltage Characteristics in Public Distribution Systems, EN 50160-2007 Standard, 2007.
- [6] 電力品質 電壓波動和閃爍,GB/T 12326-2008,中國國家標準,2008。
- [7] 電力品質,江榮城,全華圖書股份有限公司,民國九十六年。
網站所有內容為© 2026 新能電力科技有限公司原創著作,未經授權不得轉載、修改或以任何形式使用。版權所有,保留一切權利。
